11 KiB
Отчёт по теме 5
Зеленкина Катерина Михайловна, А-02-23
Пункт 1.Запуск оболочки IDLE
Пункт 2. Инструкция if
- ветвление по условию Определение значения dohod:
>>> porog = 10
>>> rashod1 = 50
>>> rashod2 = 35
>>> if rashod1>=porog:
... dohod=12
>>> elif rashod2==porog:
... dohod=0
>>> else:
... dohod=-8
>>> dohod
12
Выполнить ещё одну операцию, определила значение dohod:
>>> if rashod1>=3 and rashod2==4:
... dohod=rashod1
... if rashod2==porog or rashod1<rashod2:
... dohod=porog
...
...
>>> dohod
0
И ещё одна операция с множественным ветвлением линий потока:
>>> if porog==3:
... dohod=1
>>> elif porog==4:
... dohod=2
>>> elif porog==5:
... dohod=2
>>> else:
... dohod=0
>>> dohod
0
Условные инструкции могут записываться также в одну строку в операторе присваивания:
>>> del dohod
>>> dohod=2 if porog>=4 else 0
>>> dohod
2
>>> if porog>=5 : rashod1=6; rashod2=0
>>> rashod1
6
>>> rashod2
0
Пункт 3.Инструкция for
- цикл по перечислению
Пункт 3.1. Простой цикл
>>> temperatura=5
>>> for i in range(3,18,3):
... temperatura+=i
>>> temperatura
50
Пункт 3.2. Более сложный цикл
>>> sps=[2,15,14,8]
>>> for k in sps:
... if len(sps)<=10:sps.append(sps[0])
... else:break
>>> sps
[2, 15, 14, 8, 2, 2, 2, 2, 2, 2, 2]
#Чуть-чуть отличающуюся совокупность операций
>>> sps=[2,15,14,8]
>>> for k in sps[:]:
... if len(sps)<=10:sps.append(sps[0])
... else:break
>>> sps
[2, 15, 14, 8, 2, 2, 2, 2]
В первом способе цикл итерируется по самому списку sps, который изменяется внутри цикла и на каждой итерации добавляется новый элемент, что приводит к бесконечному циклу, прерванному только условием. Во-втором способе цикл итерируется по срезу-копии исходного списка, который не изменяется.
Пункт 3.3. Пример
Создание списка с 10 целыми случайными числами из диапазона от 1 до 100. При этом, если сум-ма чисел не превышает 500, эта сумма должна быть отображена на экране.
>>> import random as rn
>>> sps5=[]
>>> for i in range(10):
... sps5.append(rn.randint(1,100))
... ss=sum(sps5)
... if ss>500: break
>>> else:
... print(ss)
>>> sps5=[]
>>> for i in range(10):
... sps5.append(rn.randint(1,100))
... ss=sum(sps5)
... if ss>500: break
>>> else:
print(ss)
...
...
420
Вывод: Вывод ss происходит только если цикл завершился нормально (без break), то есть в первом случае ss>500 и выполнился break, поэтому ничего не вывело.
Пункт 3.4. Пример с символьной строкой
>>> stroka='Это – автоматизированная система'
>>> stroka1=""
>>> for ss in stroka:
... stroka1+=" "+ss
...
>>> stroka1
' Э т о – а в т о м а т и з и р о в а н н а я с и с т е м а'
Пункт 3.5. Запись цикла в строке.
_Пример: создание списка с синусоидальным сигналом.
>>> import math
>>> sps2=[math.sin(i*math.pi/5+2) for i in range(100)]
>>> sps2
[0.9092974268256817, 0.49103209793281005, -0.11479080280322804, -0.6767675184643197, -0.9802420445539634, -0.9092974268256817, -0.49103209793281016, 0.11479080280322791, 0.6767675184643196, 0.9802420445539634, 0.9092974268256818, 0.4910320979328103, -0.1147908028032278, -0.6767675184643196, -0.9802420445539632, -0.9092974268256818, -0.4910320979328104, 0.11479080280322768, 0.6767675184643195, 0.9802420445539632, 0.9092974268256819, 0.4910320979328105, -0.11479080280322579, -0.6767675184643194, -0.9802420445539632, -0.9092974268256819, -0.4910320979328106, 0.11479080280322743, 0.6767675184643193, 0.9802420445539632, 0.909297426825682, 0.49103209793281066, -0.1147908028032273, -0.6767675184643192, -0.9802420445539632, -0.909297426825682, -0.4910320979328108, 0.11479080280322719, 0.6767675184643192, 0.9802420445539631, 0.9092974268256822, 0.491032097932814, -0.11479080280322707, -0.676767518464319, -0.9802420445539625, -0.9092974268256822, -0.491032097932811, 0.11479080280323047, 0.6767675184643189, 0.9802420445539625, 0.9092974268256822, 0.4910320979328142, -0.11479080280322682, -0.6767675184643215, -0.9802420445539631, -0.9092974268256808, -0.4910320979328112, 0.11479080280322317, 0.6767675184643187, 0.9802420445539624, 0.9092974268256823, 0.4910320979328082, -0.11479080280322658, -0.6767675184643213, -0.980242044553963, -0.9092974268256838, -0.49103209793281144, 0.11479080280322293, 0.6767675184643186, 0.9802420445539637, 0.9092974268256824, 0.49103209793280844, -0.11479080280322633, -0.6767675184643158, -0.980242044553963, -0.9092974268256839, -0.49103209793281166, 0.11479080280322974, 0.6767675184643184, 0.9802420445539637, 0.9092974268256825, 0.4910320979328149, -0.11479080280321903, -0.6767675184643209, -0.9802420445539629, -0.909297426825681, -0.4910320979328119, 0.11479080280322244, 0.6767675184643129, 0.9802420445539636, 0.9092974268256826, 0.49103209793281505, -0.11479080280322584, -0.6767675184643155, -0.9802420445539644, -0.9092974268256812, -0.49103209793281205, 0.1147908028032222, 0.6767675184643127, 0.980242044553965]
>>> import pylab
>>> pylab.plot(sps2)
[<matplotlib.lines.Line2D object at 0x000001ECFBB62350>]
>>> pylab.title('Синусоидальный сигнал')
Text(0.5, 1.0, 'Синусоидальный сигнал')
>>> pylab.xlabel('Отсчеты')
Text(0.5, 0, 'Отсчеты')
>>> pylab.ylabel('Амплитуда')
Text(0, 0.5, 'Амплитуда')
>>> pylab.grid(True)
>>> pylab.show()
Пункт 4. Инструкция while
Пункт 4.1. Цикл со счётчиком
>>> rashod=300
>>> while rashod:
... print("Расход=",rashod)
... rashod-=50
Расход= 300
Расход= 250
Расход= 200
Расход= 150
Расход= 100
Расход= 50
Вывод: цикл завершился, когда rashod стал равен 0.
Пункт 4.2. Пример с символьной строкой
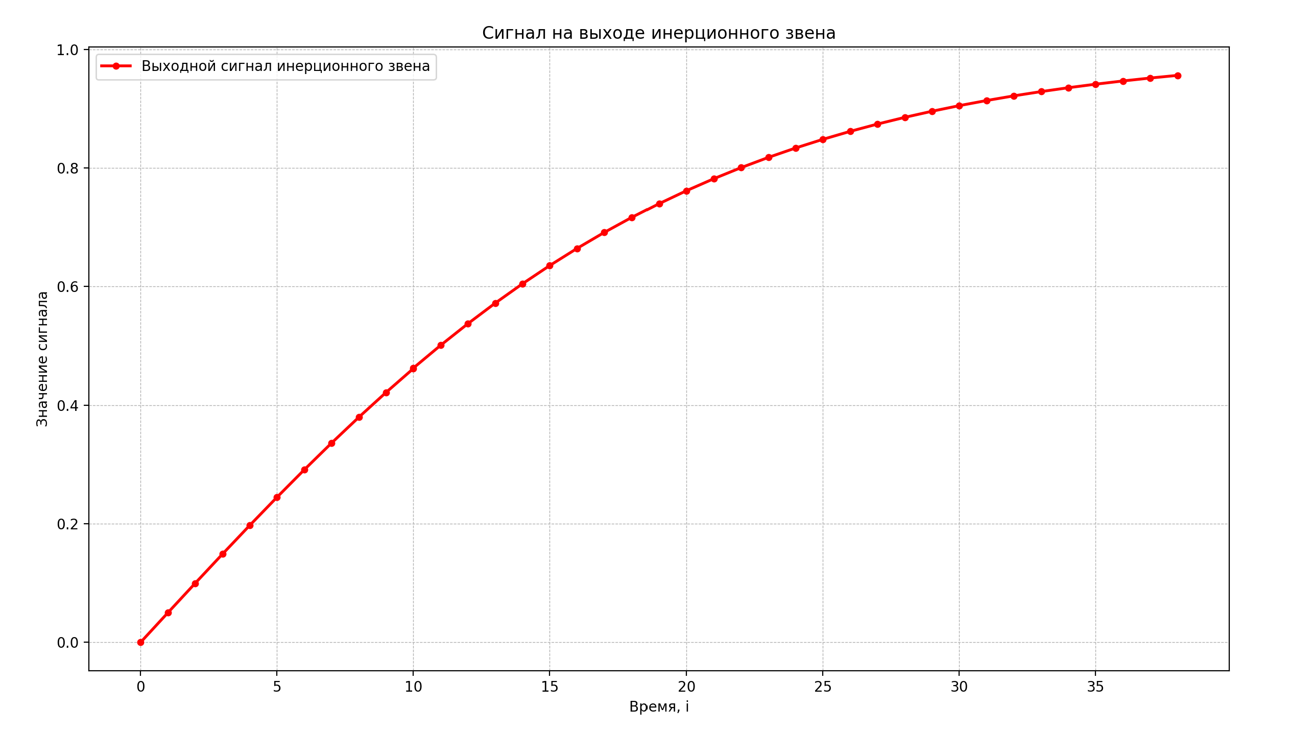
>>> import math
>>> stroka = 'Расчет процесса в объекте регулирования'
>>> i = 0
>>> sps2 = []
>>> tp=[]
>>> while i < len(stroka):
... r = 1 - 2 / (1 + math.exp(0.1 * i))
... sps2.append(r)
... tp.append(i)
... print('Значение в момент', i, "=", r)
... i += 1
Значение в момент 0 = 0.0
Значение в момент 1 = 0.049958374957880025
Значение в момент 2 = 0.09966799462495568
Значение в момент 3 = 0.14888503362331795
Значение в момент 4 = 0.197375320224904
Значение в момент 5 = 0.2449186624037092
Значение в момент 6 = 0.2913126124515909
Значение в момент 7 = 0.3363755443363322
Значение в момент 8 = 0.3799489622552249
Значение в момент 9 = 0.421899005250008
Значение в момент 10 = 0.4621171572600098
Значение в момент 11 = 0.5005202111902354
Значение в момент 12 = 0.5370495669980353
Значение в момент 13 = 0.5716699660851172
Значение в момент 14 = 0.6043677771171636
Значение в момент 15 = 0.6351489523872873
Значение в момент 16 = 0.6640367702678489
Значение в момент 17 = 0.6910694698329307
Значение в момент 18 = 0.7162978701990245
Значение в момент 19 = 0.7397830512740043
Значение в момент 20 = 0.7615941559557649
Значение в момент 21 = 0.7818063576087741
Значение в момент 22 = 0.8004990217606297
Значение в момент 23 = 0.8177540779702878
Значение в момент 24 = 0.8336546070121553
Значение в момент 25 = 0.8482836399575129
Значение в момент 26 = 0.8617231593133063
Значение в момент 27 = 0.874053287886007
Значение в момент 28 = 0.8853516482022625
Значение в момент 29 = 0.8956928738431645
Значение в момент 30 = 0.9051482536448664
Значение в момент 31 = 0.9137854901178277
Значение в момент 32 = 0.9216685544064713
Значение в момент 33 = 0.9288576214547277
Значение в момент 34 = 0.935409070603099
Значение в момент 35 = 0.9413755384972874
Значение в момент 36 = 0.9468060128462683
Значение в момент 37 = 0.9517459571646616
Значение в момент 38 = 0.9562374581277391
>>> import matplotlib.pyplot as plt
>>> plt.plot(tp, sps2, 'r-', marker='o', linewidth=2, markersize=4, label='Выходной сигнал инерционного звена')
[<matplotlib.lines.Line2D object at 0x0000016A21FE20D0>]
>>> plt.title('Сигнал на выходе инерционного звена')
Text(0.5, 1.0, 'Сигнал на выходе инерционного звена')
>>> plt.xlabel('Время, i')
Text(0.5, 0, 'Время, i')
>>> plt.ylabel('Значение сигнала')
Text(0, 0.5, 'Значение сигнала')
>>> plt.grid(True, which='major', linestyle='--', linewidth=0.5)
>>> plt.legend()
<matplotlib.legend.Legend object at 0x0000016A21FE2210>
>>> plt.show()
Пункт 4.3. Определение, является ли число простым.
chislo=267
kandidat =chislo // 2
while kandidat > 1:
if chislo%kandidat == 0:
print(chislo, ' имеет множитель ', kandidat)
break
kandidat -= 1
else:
print(chislo, ' является простым!')
267 имеет множитель 89
Дополнила программу для выявления всех простых чисел в диапазоне от 250 до 300:
>>> for chislo in range(250, 301):
... kandidat = chislo // 2
... while kandidat > 1:
... if chislo % kandidat == 0:
... break
... kandidat -= 1
... else:
... if chislo > 1:
... print(chislo, '- простое число')
251 - простое число
257 - простое число
263 - простое число
269 - простое число
271 - простое число
277 - простое число
281 - простое число
283 - простое число
293 - простое число

